文章信息:Ruiqi Li, Lei Dong, Jiang Zhang, et al. (2017). Simple spatial scaling rules behind complex cities. Nature Communications, 8(1), 1841. https://doi.org/10.1038/s41467-017-01882-w.
阅读笔记:吴莹,2019级硕士生
阅读时间:2019年3月12日
Abstract:Although most of wealth and innovation have been the result of human interaction and cooperation, we are not yet able to quantitatively predict the spatial distributions of three main elements of cities: population, roads, and socioeconomic interactions. By a simple model mainly based on spatial attraction and matching growth mechanisms, we reveal that the spatial scaling rules of these three elements are in a consistent framework, which allows us to use any single observation to infer the others. All numerical and theoretical results are consistent with empirical data from ten representative cities. In addition, our model can also provide a general explanation of the origins of the universal super- and sub-linear aggregate scaling laws and accurately predict kilometre-level socioeconomic activity. Our work opens a new avenue for uncovering the evolution of cities in terms of the interplay among urban elements, and it has a broad range of applications.
摘要:虽然大多数财富和创新都是人类互动与合作的结果,但我们还无法定量预测城市的三大要素:人口、道路和社会经济互动的空间分布。通过一个主要基于空间吸引和匹配增长机制的简单模型,我们发现这三个要素的空间尺度规则是一致的,这使得我们可以用任何一个单一的观察来推断其他要素。所有数值和理论结果与10个代表性城市的经验数据一致。此外,我们的模型还可以对普遍的超线性和次线性聚集尺度定律的起源提供一个一般性的解释,并能准确预测千米级的社会经济活动。我们的工作为揭示城市要素之间相互作用的演变开辟了一条新的道路,具有广泛的应用。
研究思路:
本文使用动态模型来解释空间分布和聚合缩放定律的演变。具体而言,提出了一种简单的空间吸引(SA)机制,该机制结合了人口聚集和城市新区域探索之间的竞争,以确定活跃人口(AP)的空间分布。根据其在该地区的活动持续时间,AP是住宅和工作人口的混合物10,40。对于估算社会经济活动而言,这是一个比简单居住人口更合适的代理。 AP集团之间对社会经济互动的需求推动了道路网络的增长和扩展。道路网络的发展促进了不同地区之间的社会经济互动。因此,本地AP在城市人口,道路网络和社会经济互动的演变中起着决定性作用。
研究结果:
1、基于空间吸引和匹配增长机制的统一模型
起初,我们在网格的中心生成一个活动社区(即种子节点),我们提出了一种SA机制,假设在每个时间步,一个新的活跃社区出生在一个随机位置(r,θ)

其中r是到中心区域的距离(即种子的位置节点(0,0),θ是新节点的极角,ρ(r,θ,t)是AP在位置(r,θ)和时间t的局部密度。C是自由的表征空地方吸引力的参数居住或开发,可以作为吸引力的代表自然禀赋或政策对土地约束的影响。新的如果节点足够靠近现有节点(即欧几里得距离小于给定阈值r0)。如果没有,它会由于制造成本过高而未能加入城市(见下图a)连接。这就是我们所说的匹配增长。在我们的模型中,r0是一个常数,它可以由技术和交通发展水平决定。
2、基于AP的路网建设
随着人口聚集规模的扩大,人们之间互动的需求推动了道路网络的增长和扩张。我们假设两个节点之间的路段l 0的典型长度取决于ρ-1/2形式的局部AP密度,以及无穷小空间中的人均面积的总长度l(r,θ,t)。 在时间t的位置(r,θ)是

3、沿道路的社会经济互动
人员的集聚和道路网络的建设促进了对经济产出和创新至关重要的社会经济互动。我们假设所有相互作用都发生在道路上33,并且城市的社会经济产出大致与社会经济相互作用的总数成比例。

4、空间扩展
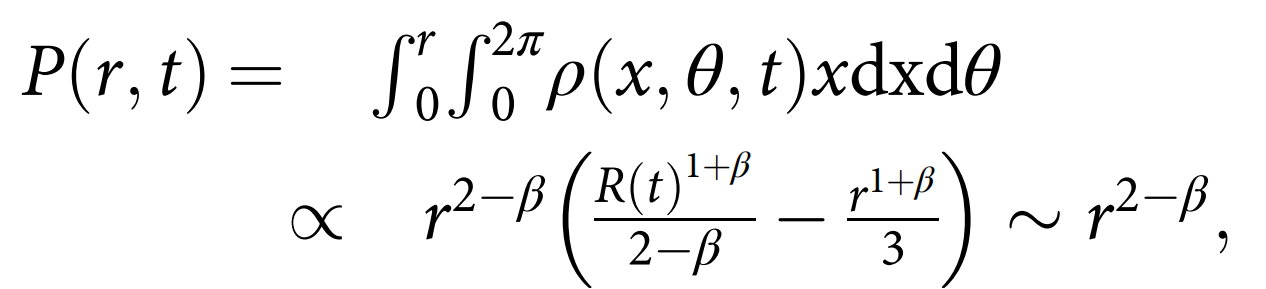
我们的简单规则生成AP、路网和社会经济相互作用分布(见图1b, c)。AP分布及其形态与真实的大伦敦金融城(见图1d)吻合良好。该模型允许我们量化这些预测。根据SA机理,当t足够大时,AP的空间分布近似为

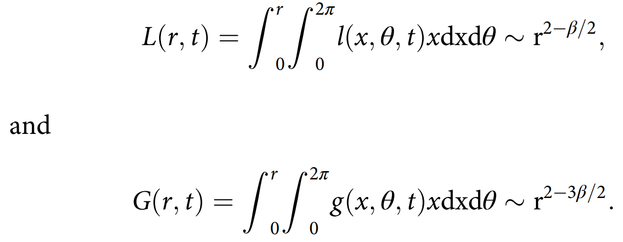
为了消除经验数据中噪声的影响并允许对不同数量进行无偏差的比较,我们根据距中心区域的距离而不是局部密度来研究累积量(见图3)。集成方程(4)我们获得:

这与分形城市假设一致,如果AP和建筑物的分布相似,则分形维数为2 - β。 我们可以类似地计算累积道路长度和社会经济相互作用:

因此,道路网的累积长度和半径r内的社会经济相互作用的指数是2 - β/ 2和2 - 3β/ 2。 因此基于Eqs。 我们可以从任何单一观察中获得所有其他空间尺度指数。
5、聚合缩放定律
除了提供三个主要变量的空间分布外,该模型还能够在总体水平上生成比例定律,即总面积、道路长度和GDP对人口的依赖性。

公里级社会经济活动预测。a来自大伦敦VIIRS的夜间光线的光栅化位图,由AP分布的异常值修剪(如果其中没有人口,我们还将夜间光线像素的值设置为0)。b根据ρ3/2预测的社会经济相互作用的空间分布(等式(3))。c夜间光线与AP 1.5功率之间相关性的散射图的彩色图。更亮的区域表示更多的数据点落在这个小区域中,颜色条表示数据点的数量。数据都通过a、b中各自的最大值进行归一化。a、b的每个像素对应于边长为1公里的正方形。

两个城市的空间尺度结果。a伦敦和b北京的结果。伦敦和北京的AP指数分别为1.70和1.91,这是通过a、b中的线性回归估计的。然后,伦敦的β=0.30和北京的0.09可以根据等式估计。(5)。根据我们的理论,伦敦(北京)夜间灯光捕捉到的道路长度和社会经济相互作用指数可以预测为2−β/2=1.85(1.95)和2−3β/2=1.55(1.86),这与经验结果非常接近——通过线性回归,伦敦道路长度和社会经济相互作用的指数和标准差分别为1.85(sd 0.00800)和1.66(sd 0.0118)。北京的数据分别为1.95(标准差0.0164)和1.74(标准差0.01 05)。
讨论:
本文提出了一个简单的机制,即空间吸引力和匹配增长,模拟城市增长,揭示不同城市元素之间隐藏的空间尺度关系。该过程揭示了人口聚集与空间探索之间的竞争,这是由单一参数C控制的。该模型可以产生三个主要元素(AP,道路网络和社会经济相互作用)的所有空间尺度,以及理论分析与实证结果一致。在理论上,发现来自C的空间参数β在所有空间尺度中起关键作用。具体地,当β很大时,所有三种元素都集中在市区。相反,小的β值表示城市元素的分散。发现北京的β值小于伦敦的β值,表明北京正在经历比伦敦更为平缓的扩张。因此,β值是城市的重要特征,因为它可以捕捉元素的静态空间模式和城市的发展状态。此外,我们的模型提供了对当地社会经济相互作用的精确预测,正如伦敦夜间光强度所反映的那样,这可以应用于许多与城市发展有关的问题。
作者对研究工作也提出了一些问题,一旦得到回答,可以进一步加深我们对各种城市现象的理解。随着城市的扩张,两个或更多邻近城市将不可避免地形成大都市区,如中国的纽约,波士顿和长江三角洲地区。我们当前的模型假设一个城市在理想的各向同性空间中生长,没有考虑真实的地理和水文因素,并且没有人口限制。另一方面,现实世界的地形,自然资源和初始定居点的分布,土地使用政策和技术发展限制了城市的实际增长。未来的工作将包括这些,并应该让我们更真实地模拟城市的演变。
原文链接:https://www.nature.com/articles/s41467-017-01882-w