文章来源:Larisa Tarasova, David Lun, Ralf Merz, Günter Blöschl, Stefano Basso, Miriam Bertola, Arianna Miniussi, Oldrich Rakovec, Luis Samaniego, Stephan Thober, Rohini Kumar. (2023). Shifts in flood generation processes exacerbate regional flood anomalies in Europe. Nature Communications Earth & Environment: 4, 49. https://doi.org/10.1038/s43247-023-00714-8.
整理人:徐嘉苗,2021级本科生
整理时间:2024年6月3日
Abstract: Anomalies in the frequency of river floods, i.e., flood-rich or -poor periods, cause biases in flood risk estimates and thus make climate adaptation measures less efficient. While observations have recently confirmed the presence of flood anomalies in Europe, their exact causes are not clear. Here we analyse streamflow and climate observations during 1960-2010 to show that shifts in flood generation processes contribute more to the occurrence of regional flood anomalies than changes in extreme rainfall. A shift from rain on dry soil to rain on wet soil events by 5% increased the frequency of flood-rich periods in the Atlantic region, and an opposite shift in the Mediterranean region increased the frequency of flood-poor periods, but will likely make singular extreme floods occur more often. Flood anomalies driven by changing flood generation processes in Europe may further intensify in a warming climate and should be considered in flood estimation and management.
摘要:河流洪水频率的异常,即洪水频发或稀少时期,会导致洪水风险评估的偏差,从而降低气候适应措施的效率。虽然最近的观测证实了欧洲存在洪水异常现象,但其确切原因尚不清楚。本文分析了1960-2010年间径流和气候观测数据,以证明洪水产生过程的变化相较于极端降雨变化,对区域洪水异常的发生贡献更大。大西洋地区雨旱土变为雨湿土事件比例增加5%,提高了洪水频发期的频率;而地中海地区相反的变化则增加了洪水稀少期的频率,但可能导致单个极端洪水事件更加频繁发生。由欧洲洪水产生过程变化驱动的洪水异常现象,在气候变暖的情况下可能会进一步加剧,应在洪水估算和管理中予以考虑。

图 欧洲集水区洪水生成过程频率的变化

图 欧洲四个地区(北部、大西洋、地中海和中阿尔卑斯)洪水生成过程的变化

图 不同洪水过程的洪水量级的区域概率分布

图 欧洲四个地区洪水生成过程的区域洪水异常和变化

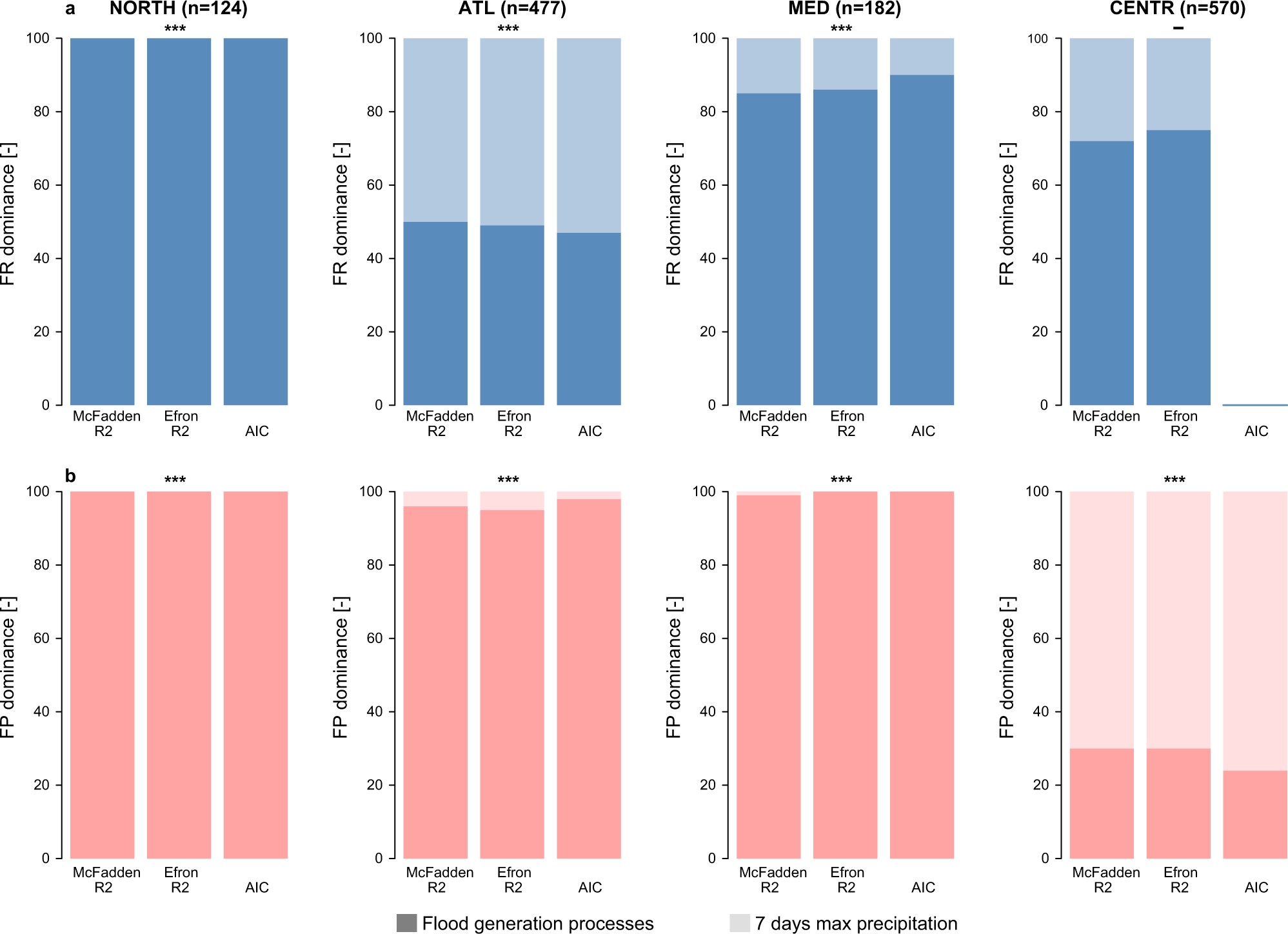
图 洪水生成过程和极端降水中时间变化的一般优势(额外贡献)
原文链接:https://www.nature.com/articles/s43247-023-00714-8
节选转引:https://mp.weixin.qq.com/s/olBflYTVZ20aHk_jwiE06A